基本信息:
中文名稱 對溴乙基苯
中文別名 對乙基溴苯;對溴乙苯;1-溴-4-乙基苯;4-溴乙基苯;4-乙基溴苯;
英文名稱 1-Bromo-4-ethylbenzene
英文別名 p-Bromoethylbenzene;4-Bromoethylbenzene;1-Bromo-4-Ethylbenzene;1-bromo-4-ethylbenzene;
CAS號 1585-07-5
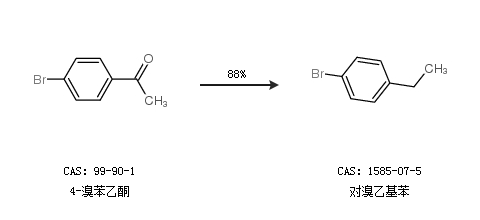
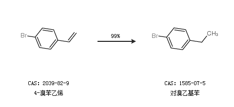
合成路線:
1.通過4-溴苯乙酮合成對溴乙基苯,收率約88%;

2.通過4-溴苯乙烯合成對溴乙基苯,收率約99%;

合成路線僅供參考