基本信息:
中文名稱 2-溴-2-苯基乙酰苯
中文別名 2-溴-2-苯基苯乙酮;
英文名稱 2-Bromo-2-Phenylacetophenone
英文別名 2-BROMO-2-PHENYLACETOPHENONE;Desyl bromide;2-bromo-1,2-diphenylethanone;
CAS號 1484-50-0
合成路線:
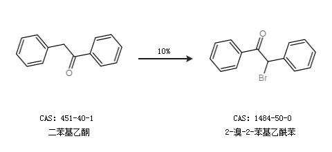
1.通過二苯基乙酮合成2-溴-2-苯基乙酰苯,收率約10%;

2.通過2-羥基-2-苯基苯乙酮合成2-溴-2-苯基乙酰苯,收率約73%;

中華試劑網(wǎng)提醒:合成路線僅供參考