基本信息:
中文名稱 ?;敲撗跄懰?br>中文別名 ?;切苋パ跄懰?牛磺熊脫氧膽酸;?;切廴パ跄懰?牛熊去氧膽酸鈉;牛磺酸熊脫氧膽酸;
英文名稱 Tauroursodeoxycholic Acid Dihydrate
英文別名 2-[[(4R)-4-[(3R,5S,7S,8R,9S,10S,13R,14S,17R)-3,7-dihydroxy-10,13-dimethyl-2,3,4,5,6,7,8,9,11,12,14,15,16,17-tetradecahydro-1H-cyclopenta[a]phenanthren-17-yl]pentanoyl]amino]ethanesulfonic acid;TAUROURSODEOXYCHOLIC ACID;3α,7β-Dihydroxy-5β-cholan-24-oic Acid N-(2-Sulfoethyl)amide Dihydrate;Tauroursodeoxycholic acid dihydrate;Tauroursodeoxycholic acid sodium salt;Sodium tauroursodeoxycholate;3α,7β-Dihydroxy-5β-cholan-24-oic acid N-(2-sulfoethyl)amide;
CAS號 14605-22-2
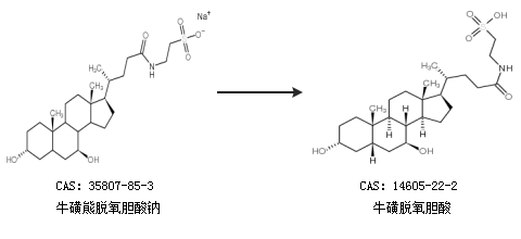
合成路線:
1.通過?;切苊撗跄懰徕c合成?;敲撗跄懰?br>

合成路線僅供參考