基本信息:
中文名稱 2''-羥基-5''-硝基苯乙酮
中文別名 2''-羥基-5''-硝基乙酰苯;2-羥基-5-硝基苯乙酮;
英文名稱 2''-Hydroxy-5''-nitroacetophenone
英文別名 1-(2-Hydroxy-5-nitrophenyl)ethanone;1-(2-hydroxy-5-nitrophenyl)ethanone;
CAS號 1450-76-6
合成路線:
1.通過4-硝基苯酚和乙酰氯合成2''-羥基-5''-硝基苯乙酮,收率約79%;

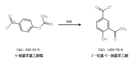
2.通過4-硝基苯基乙酸酯合成2''-羥基-5''-硝基苯乙酮,收率約94%;

中華試劑網(wǎng)提醒:合成路線僅供參考