基本信息:
中文名稱 1-Boc-吡咯-2-硼酸
中文別名 1-BOC-吡咯-3-硼酸;1-N-BOC-吡咯-2-硼酸;1-叔丁氧羰基吡咯-2-硼酸;N-叔丁氧羰基吡咯-2-硼酸;N-boc-2-吡咯基-硼酸;1-叔丁氧羰基-2-吡咯基硼酸;1-Boc-2-吡咯硼酸;1-叔丁氧羰基-2-吡咯硼酸;BOC保護的吡咯-2-硼酸;1-BOC-2-吡咯硼酸;1-BOC-1H-吡咯-2-硼酸;
英文名稱 N-Boc-2-pyrroleboronic acid
英文別名 1-Boc-2-pyrroleboronic Acid;[1-[(2-methylpropan-2-yl)oxycarbonyl]pyrrol-2-yl]boronic acid;1-tert-Butoxycarbonyl-2-pyrrolylboronic acid;1-(tert-Butoxycarbonyl)-2-pyrroleboronic Acid;(1-(tert-Butoxycarbonyl)-1H-pyrrol-2-yl)boronic acid;N-Boc-2-Pyrroleboronic acid;
CAS號 135884-31-0
合成路線:
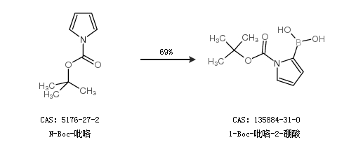
1.通過N-Boc-吡咯合成1-Boc-吡咯-2-硼酸,收率約69%;

2.通過N-Boc-吡咯和硼酸三乙酯合成1-Boc-吡咯-2-硼酸,收率約85%;

合成路線僅供參考