基本信息:
中文名稱 二氯萘醌
中文別名 2,3-二氯-1,4-萘醌;二氯萘;非岡;2,3-二氯-1,4-萘二酮;
英文名稱 dichlone
英文別名 2,3-dichloronaphthalene-1,4-dione;2,3-dichloro-1,4-naphthoquinone;2,3-Dichloro-1,4-naphthoquinone;2,3-dichloro-1,4-naphthalenedione;
CAS號 117-80-6
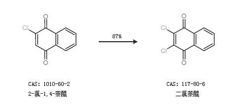
合成路線:
1.通過1,4-萘醌合成二氯萘醌,收率約85%;

2.通過2-氯-1,4-萘醌合成二氯萘醌,收率約87%;

中華試劑網(wǎng)提醒:合成路線僅供參考