基本信息:
中文名稱 2-氨基二苯硫醚
中文別名 2-氨基苯基苯硫醚;2-(苯基硫代)苯胺;2-苯硫基苯胺;2-氨基二苯基硫醚;
英文名稱 2-(Phenylthio)aniline
英文別名 2-Aminophenyl phenyl sulfide;2-phenylsulfanylaniline;2-Aminodiphenyl Sulfide;
CAS號(hào) 1134-94-7
合成路線:
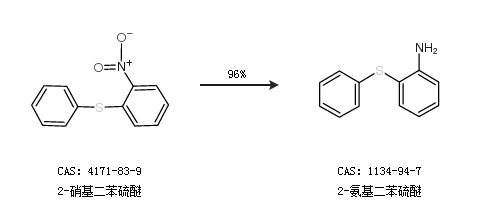
1.通過2-硝基二苯硫醚合成2-氨基二苯硫醚,收率約96%;

2.通過溴代苯和雙(2-氨基苯基)二硫合成2-氨基二苯硫醚,收率約73%;

中華試劑網(wǎng)提醒:合成路線僅供參考