基本信息:
中文名稱 L-4-氟苯丙氨酸
中文別名 4-氟-L-苯基丙氨酸;4-氟-L-苯丙氨酸;對氟-L-苯丙氨鹽酸鹽;
英文名稱 4-fluorophenyl-L-alanine
英文別名 L-4-F-Phe-OH;H-PHE(P-F)-OH;H-Phe(4-F)-OH;L-4-Fluoro-phe-OH;H-PHE(4-F)-OH;4-fluoroPhe;L-4-FLUOROPHE;H-L-PHE(4-F)-OH;D,L-4-fluorophenylalanine;(S)-4-Fluorophenylalanine;p-Fluoro-L-phenylalanine;4-Fluoro-Phe-OH;L-p-fluorophenylalanine;4-Fluoro-L-phenylalanine;4-FLUORO-PHE-OH;(S)-2-Amino-3-(4-fluorophenyl)propionic Acid;H-P-FLUORO-PHE-OH;RARECHEM BK PT 0031;D,L-p-fluorophenylalanine;L-4-Fluorophenylalanine;
CAS號 1132-68-9
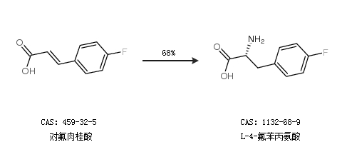
合成路線:
1.通過對氟肉桂酸合成L-4-氟苯丙氨酸,收率約68%;

2.通過2-(4-氟苯甲?;?乙酸合成L-4-氟苯丙氨酸,收率約99%;

合成路線僅供參考