基本信息:
中文名稱 β-阿樸胡蘿卜素醛
中文別名 全反式-β-阿林胡蘿卜醛;BETA-阿撲-8-胡蘿卜醛;8''-阿樸-β,ψ-胡蘿卜醛;8’-阿樸-β,ψ-胡蘿卜醛;Beta-阿樸-8''-胡蘿卜醛;Β-阿樸-胡蘿卜醇;
英文名稱 8''-apo-β,ψ-caroten-8''-al
英文別名 (2E,4E,6E,8E,10E,12E,14E,16E)-2,6,11,15-tetramethyl-17-(2,6,6-trimethylcyclohexen-1-yl)heptadeca-2,4,6,8,10,12,14,16-octaenal;trans-β-Apo-8''-carotenal;trans-β-Apo-8′-carotenal;Apocarotenal;8''-apo-beta,psi-caroten-8''-al;
CAS號(hào) 1107-26-2
合成路線:
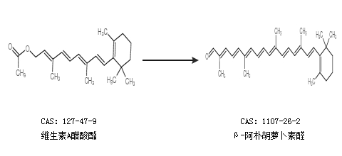
1.通過(guò)維生素A醋酸酯合成β-阿樸胡蘿卜素醛

2.通過(guò)維生素A合成β-阿樸胡蘿卜素醛

中華試劑網(wǎng)提醒:合成路線僅供參考