基本信息:
中文名稱 4,4''-二氨基八氟聯(lián)苯
中文別名 4,4’-二氨基八氟聯(lián)苯;
英文名稱 4-(4-amino-2,3,5,6-tetrafluorophenyl)-2,3,5,6-tetrafluoroaniline
英文別名 4,4''-DiaMinooctafluorobiphenyl;4,4''-diamino-2,2'',3,3'',5,5'',6,6''-octafluorobiphenyl;4,4''-Diaminoctafluorobiphenyl;4,4''-Diaminooctafluorodiphenyl;Octafluorobenzidine;2,2'',3,3'',5,5'',6,6''-octafluoro-biphenyl-4,4''-diamine;octafluoro-4,4''-biphenylenediamine;Benzidine,2,2'',3,3'',5,5'',6,6''-octafluoro;2,2'',3,3'',5,5'',6,6''-Octafluorobenzidine;4,4''-diaminooctafluoro biphenyl;
CAS號 1038-66-0
合成路線:
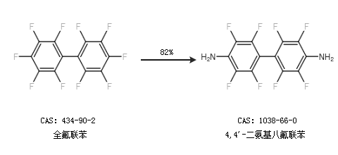
1.通過全氟聯(lián)苯合成4,4''-二氨基八氟聯(lián)苯,收率約82%;

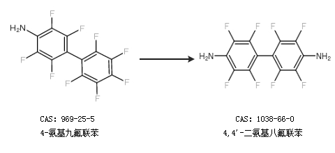
2.通過4-氨基九氟聯(lián)苯合成4,4''-二氨基八氟聯(lián)苯

合成路線僅供參考