基本信息:
中文名稱(chēng) 3-(二丁胺)丙胺
中文別名 3-二丁氨基丙胺;
英文名稱(chēng) 3-(Dibutylamino)propylamine
英文別名 N'',N''-dibutylpropane-1,3-diamine;N,N-Dibutyltrimethylenediamine;N,N-Dibutyl-1,3-diaminopropane;N1,N1-Dibutylpropane-1,3-diamine;N,N-Dibutyl-1,3-propanediamine;3-(DibutylaMino)propylaMine;
CAS號(hào) 102-83-0
合成路線:
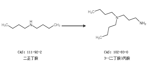
1.通過(guò)二正丁胺合成3-(二丁胺)丙胺

2.通過(guò)N-(3-溴丙基)苯二胺和二正丁胺合成3-(二丁胺)丙胺

合成路線僅供參考