基本信息:
中文名稱 1,4-二乙酰苯
中文別名 1,4-二乙?;?對二乙?;?
英文名稱 1,4-Diacetylbenzene
英文別名 1-(4-acetylphenyl)ethanone;4-Acetylacetophenone;4''-Acetylacetophenone;1,4-DIACETYLBENZENE;1,1''-(1,4-Phenylene)diethanone;
CAS號 1009-61-6
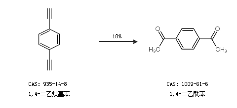
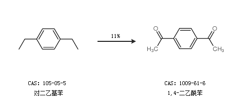
合成路線:
1.通過1,4-二乙炔基苯合成1,4-二乙酰苯,收率約18%;

2.通過對二乙基苯合成1,4-二乙酰苯,收率約11%;

合成路線僅供參考