基本信息:
中文名稱 對苯二甲酸
中文別名 1,4-苯二甲酸; p-苯二甲酸; 對酞酸; TPA; PTA
英文名稱 terephthalic acid
英文別名 p-Phthalic Acid;p-Phthalic acid;Caffeic acid;TEREPHTHALIC ACID FOR SYNTHESIS;Terephthalic acid;TEREPHTHALIC ACID/BENZENE-1,4-DICARBOXYLIC ACID;PURIFIED TEREPHTHALIC ACID;TEREPHTHALIC ACID (TPA);Terephthalic Acid;Terephthalicacid;P-BENZENEDICARBOXYLIC ACID;benzene-1,4-dicarboxylic acid;Benzene-1,4-dicarboxylic Acid;
CAS號 100-21-0
合成路線:
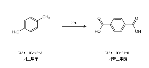
1.通過對二甲苯合成對苯二甲酸,收率約99%;

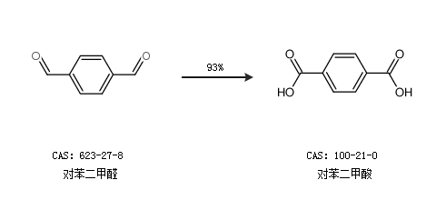
2.通過對苯二甲醛合成對苯二甲酸,收率約93%;

中華試劑網(wǎng)提醒:合成路線僅供參考